What?
Related to the Derivative, whenever you have an equation and are dealing with the derivative of a function within that equation, then you have yourself a DE.
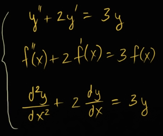
Below are all differential equations:

Alternative Definition:
An equation of an unknown function (often ) in terms of a variable (often ) and one or more of its derivatives.
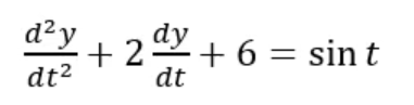
Example:

How do you solve for these Differential equations? Well it depends, there’s different types. E.G. Separable Equations or First Order Linear Differential Equations.