Power Rule:
Simple: →
Sum Rule:
Think of the tiny changes in both of the individual functions
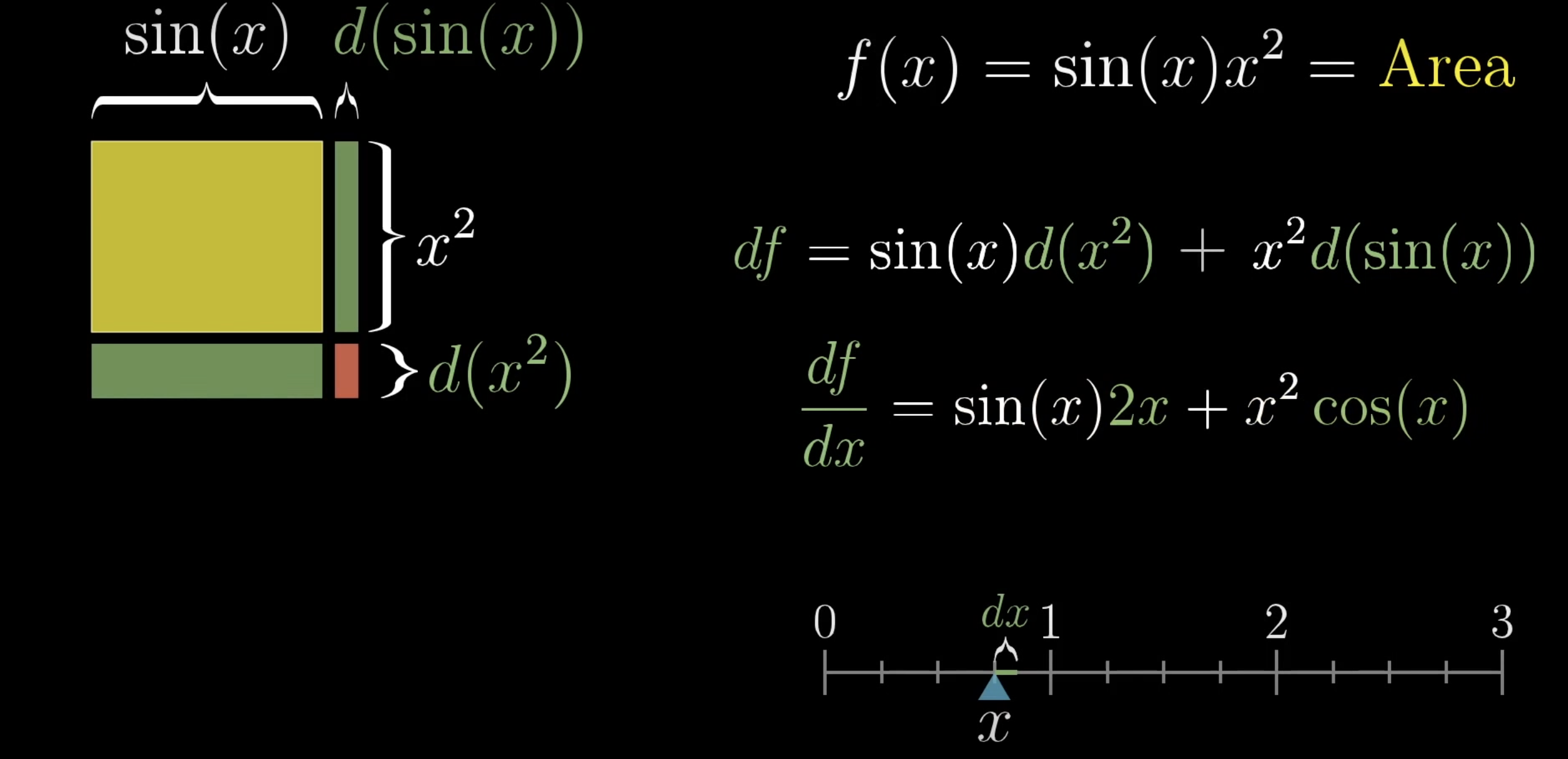
Product Rule:
Then
Think of the rectangle.
Chain Rule
If
Then
Think of this as 3 separate number lines. The change in () depends on the change in (). The change in () depends on . If we differentiate starting from the outermost layer, everything falls into place.
Derivative Rules / Rules of Derivation / Derivatives:




